在检测系统应用中,进入传感器主瓣和旁瓣的脉冲干扰会大大影响系统检测性能,电子对抗和反对抗技术如旁瓣对消(Sidelobe Canceler, SLC)和旁瓣匿影(SideLobe Blanker,SLB)在实际应用中其中扮演了重要的角色。
为了提高多干扰情况下系统的检测性能,中科院水下航行器信息技术重点实验室的郝程鹏研究员和来自意大利的研究人员合作,基于模型定阶(Model Order Selection, MOS)方法和广义似然比检测(Generalized Likelihood Ratio Test, GLRT)方法,提出了一种新的检测方法,这种方法具有恒虚警(CFAR)性能。相关研究成果已被 2018 5th IEEE International Workshop on Metrology for AeroSpace 论文集收录。
在多个干扰源且参考数据有限的情况下,如果我们设定干扰源的最大个数,那么就可使用MOS方法解决多个干扰源情形下的目标干扰问题;从能量的角度来看,在类噪声干扰背景下的目标检测策略会增加接收到数据的协方差矩阵(Interference Covariance Matrix, ICM)的特征值,而GLRT可以很好的解决此种情况下的目标检测问题。
研究人员提供了包含两步自适应检测的新方法,用于多个类噪声干扰源情况下的目标检测问题。其两步分别基于MOS方法和改进似然比检验(Modified Likelihood Ratio Test, MLRT)方法,前者主要用于推断干扰源个数,后者基于GLRT方法改进而来,主要用于目标检测和估计。
该方法设计出能够检测和估计干扰器数目的自适应检测体系结构。更重要的是,它可以保证CFAR在噪声功率方面的性能。
今后的研究方向可能是将这种方法推广到雷达系统受到相干干扰和噪声干扰器联合攻击的情况。

图1 MLRT方法结构框图

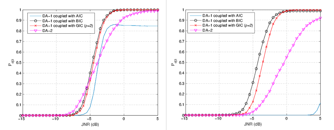
图2 检测性能:左N=16,K=18;右N=16,K=14
关键词:
类噪声干扰;模型定阶;协方差矩阵;目标检测
参考文献:
Vincenzo Carotenuto, Chengpeng Hao, Danilo Orlando, Antonio De Maio, and Salvatore Iommelli. Detection of Multiple Noise-like Jammers for Radar Applications. 2018 5th IEEE International Workshop on Metrology for AeroSpace (MetroAeroSpace). DOI: 10.1109/MetroAeroSpace.2018.8453566
链接:

